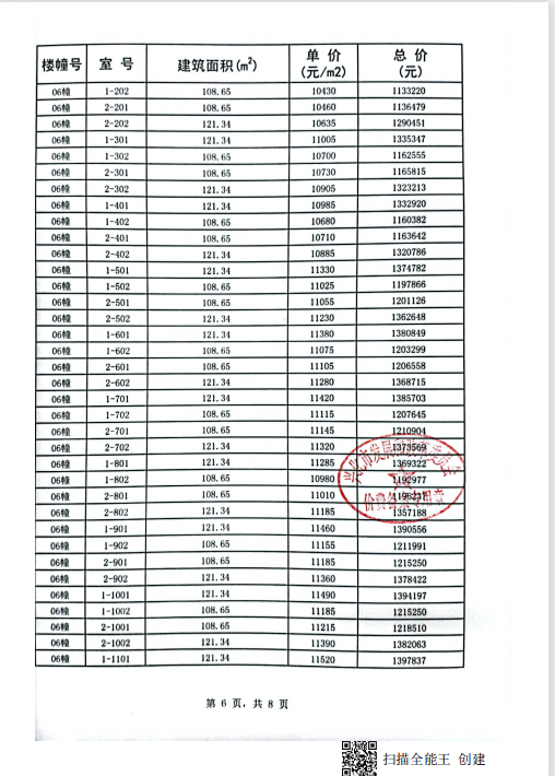
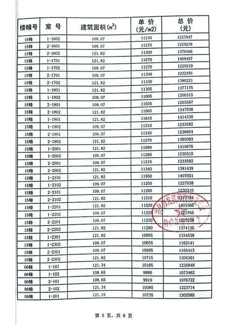
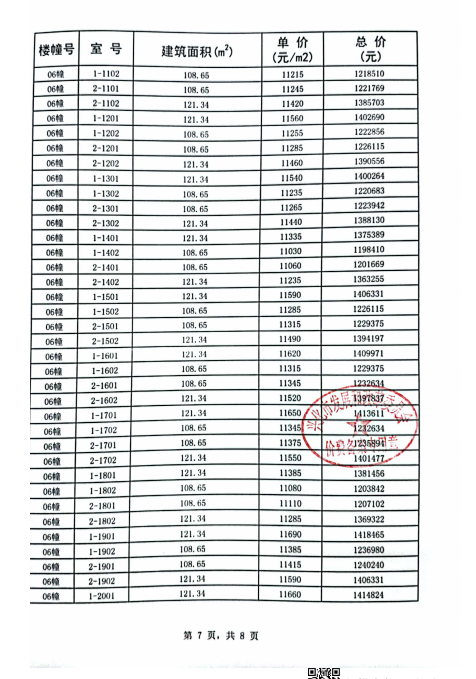
价格备案表
价格备案表
价格备案表
价格备案表
价格备案表
苏ICP备11016105号-1